Séance 15
1. Correction des exercices
2. Révisions de mécanique (présentation, travail à faire plus tard)
Niveau 5eme sur ELEA (il est fortement conseillé de faire un résumé de ce qui a été vu dans ELEA - résumé à mettre côté leçon après avoir noté “révisions”)
3. TP Fizziq
Travail à faire en binôme. ( Mode d'emploi )
- Enregistrer un mouvement en vidéo ou prendre la vidéo ici : https://nuage03.apps.education.fr/index.php/s/ZDfBtMdYNrmMadr
- Traiter la vidéo pour obtenir un cahier qui ressemble à ceci :
(Noms des élèves, type de mouvement, photo du traitement et graphique V fonction de t)
- faire cela pour un mouvement rectiligne accéléré, ralenti et uniforme
- envoyer le travail sous forme de PDF en utilisant le casier de collecte
4. A faire pour la prochaine fois
Faire les révisions de mécanique sur ELEA
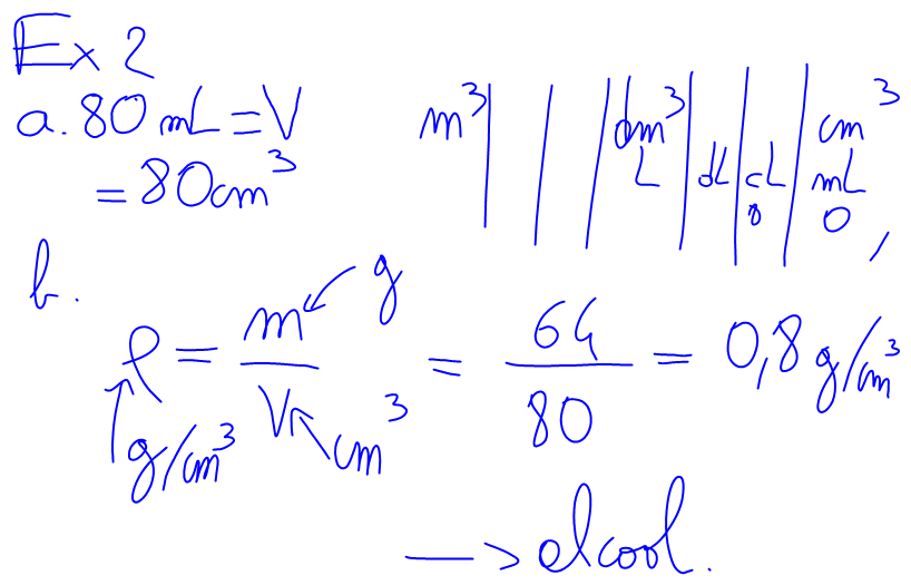
Test sur la masse volumique (10 min)



